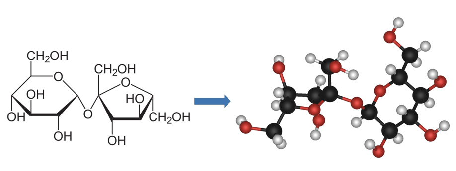
Tabla 1: La representación de una molécula de sacarosa (azúcar de mesa) pasa de ser una imagen de dos dimensiones sobre el papel (izq.) a un objeto tridimensional (der.) que se puede girar y visualizar desde varios ángulos cuando se modela en una computadora. Fuente: Creación Propia.
¿Por qué el agua hierve a 100 oC y el alcohol a sólo 78 oC? ¿Por qué el grafito es suave y el diamante es duro, si ambos están hechos del mismo elemento, el carbono? Estas y otras muchas preguntas relacionadas con el comportamiento de las sustancias tienen respuesta al examinar la estructura de los bloques fundamentales de la materia: los átomos y las moléculas.
La estructura y las propiedades de la materia dependen de la manera en que los electrones se distribuyen alrededor de los núcleos atómicos. Si bien la química general abarca estos conocimientos, los detalles físico-matemáticos que ocurren en esta relación van más allá del alcance de la química pura y se vinculan con la física, en particular con la mecánica cuántica, que es una rama de la ciencia que describe el comportamiento de la materia a nivel microscópico.
data-animation-override>
“El modelamiento molecular es poco explorado en los cursos básicos de química, quizás porque los instructores aún no se han percatado de los beneficios que ofrecen herramientas como GAMESS, Gaussian ó Q-Chem y su utilidad en el aprendizaje.”
Las ecuaciones básicas de la mecánica cuántica que se utilizan para la descripción de las moléculas se pueden plantear de manera sencilla, sin embargo solucionarlas es un asunto complicado. De hecho, es tan complejo que al día de hoy sólo se han encontrado soluciones exactas para un pequeñísimo número de moléculas, todas ellas con un sólo electrón.
Esto es claramente insuficiente: tan sólo el agua posee 10 electrones, mientras que una molécula de sacarosa (azúcar de mesa) posee 244. Es así, como los profesionales de la química y de la física han recurrido a la búsqueda de soluciones aproximadas para estas ecuaciones, haciendo uso de sus resultados en la predicción o explicación de las observaciones experimentales.
Para llegar a una solución aproximada en una molécula, se requiere del uso de programas especializados como GAMESS, Gaussian ó Q-Chem que gracias al avance tecnológico, hoy en día, están al alcance de los estudiantes universitarios, quienes pudieran modelar moléculas instalando en sus laptops dichos programas. Hace veinte años realizar esta actividad hubiera sido imposible ya que la capacidad computacional necesaria para ello sólo se podía obtener con las computadoras más potentes de esa época.
data-animation-override>
“Modelando el dióxido de carbono podemos intuir por qué dicha molécula contribuye al calentamiento global; modelando la desnaturalización de la albúmina podríamos saber por qué un huevo se “gelatiniza” cuando se pone en una sartén caliente.”
A pesar de estos avances tecnológicos, el modelamiento molecular sigue sin explorarse en los cursos básicos de química, quizás porque los instructores aún no se han percatado de los beneficios que ofrece esta herramienta y su utilidad en el aprendizaje.
Gaussian de amplio uso entre especialistas en la materia, se puede instalar en cualquier laptop y posee una interfaz muy amigable. El programa encuentra soluciones aproximadas para moléculas de todos tamaños y, por lo tanto, facilita el proceso de aprendizaje. Por ejemplo, modelando el dióxido de carbono podemos intuir por qué dicha molécula contribuye al calentamiento global; modelando la desnaturalización de la albúmina podríamos saber por qué un huevo se “gelatiniza” cuando se pone en una sartén caliente; modelando una reacción química podríamos entender por qué se forman ciertos productos y no otros, etc.
Gaussian es fruto del trabajo de Walter Kohn y John Pople, quienes desarrollaron la Teoría de Funcionales de la Densidad (DFT) y otros métodos computacionales que les valieron el Premio Nobel de Química (otorgado en 1998). La DFT es una de las grandes ideas que catapultó el avance en las soluciones aproximadas de la mecánica cuántica para moléculas grandes, como los polímeros (resinas y plásticos) y los biopolímeros (proteínas y carbohidratos).
Para demostrar su utilidad, en el reciente Congreso Nacional de Educación Química se utilizó Gaussian para el modelamiento en tiempo real del espectro de infrarrojo del ácido acético con DFT, así como el espectro de resonancia magnética nuclear de la nitroanilina.
El docente que desee utilizar este tipo de programas en el salón de clase, debe tener dos cosas en mente: 1) un propósito de uso claro, y 2) una metodología adecuada para la complejidad de los modelamientos que se pretenda realizar.
En cuanto al primer punto, el profesor debe tener claro desde el inicio para qué se está modelando la molécula: ¿Para que los estudiantes la visualicen? ¿Para optimizar en su geometría? ¿Para comprender los tipos de enlace presentes? ¿Para entender una reacción química? El propósito de uso determina el método utilizado.
En cuanto al segundo punto, dado que el tiempo de un cálculo computacional puede variar desde unos cuantos segundos hasta decenas de horas dependiendo del tamaño de la molécula y qué tan exacta sea la solución buscada, es importante que el profesor desarrolle una idea, aunque sea vaga, de cuánta precisión se desea obtener en un tiempo de cálculo razonable de acuerdo a la visión y al alcance del curso en el que se está utilizando el programa.
Finalmente, es importante que el uso de programas no sea una distracción de los objetivos de aprendizaje del curso. Dada la facilidad de implementación, hay que evitar la utilización del modelamiento como una “caja negra” donde no se reflexione en lo que el programa está haciendo, y cómo interpretar adecuadamente los resultados obtenidos.
Es una idea intrigante que los electrones que fluyen por los circuitos de una computadora se puedan utilizar hoy en día para comprender el comportamiento de los electrones en los átomos y las moléculas de todos los materiales imaginables: se trata así de electrones modelando electrones.
Aquellos profesores que deseen familiarizarse con este programa y explorar sus capacidades para el aprendizaje de la química a niveles básicos, no duden en contactarme.
Acerca del autor
Alejandro Parra Córdova es Doctor en Química por la Universidad de Binghamton. Su especialidad es la fisicoquímica de polímeros. También es profesor del Tecnológico de Monterrey, Campus Guadalajara.
Este artículo del Observatorio del Instituto para el Futuro de la Educación puede ser compartido bajo los términos de la licencia CC BY-NC-SA 4.0 
















